Mandler 35mm f/2 revive el clásico objetivo Leica y ofrece un cuerpo metálico de 138g a bajo precio

El Leica Summicron-M 35 mm f/2 Tipo 4, también conocido como el "Rey del Bokeh", aún se vende por bastante más de 1.000 dólares usado, y en buenas condiciones algunos distribuidores piden más de 2.000 dólares por este objetivo que fue fabricado por Leica entre 1979 y 1996.
Top 10 Análisis
» Top 10 Portátiles Multimedia
» Top 10 Portátiles de Juego
» Top 10 Portátiles de Juego ligeros
» Top 10 Portátiles Asequibles de Oficina/Empresa
» Top 10 Portátiles de Juego Ligeros
» Top 10 Portátiles de Oficina/Empresa Premium
» Top 10 Estaciones de Trabajo
» Top 10 Subportátiles
» Top 10 Ultrabooks
» Top 10 Convertibles
» Top 10 Tablets
» Top 10 Tablets Windows
» Top 10 Tablets de menos de 250 Euros
» Top 10 Phablets (>5.5")
» Top 10 Smartphones
» Top 10 Smartphones (≤5")
» Top 10 Smartphones de menos de 300 Euros
» Top 10 Smartphones de menos de 120 Euros
» Top 10 Portátiles de menos de 1000 Euros
» Top 10 Portátiles de menos de 500 Euros
» Top 10 Portátiles de menos de 300 Euros
» Los Mejores Displays de Portátiles Analizados por Notebookcheck
El objetivo diseñado por el ingeniero óptico de Leica Walter Mandler sigue teniendo seguidores por el aspecto inusual que produce. Ahora, una empresa china ha copiado el objetivo y, desde el diseño de la carcasa hasta la estructura óptica, esta nueva versión parece muy parecida al original, con la diferencia de que la réplica se ofrece a un precio mucho más bajo. A pesar del precio inferior, la carcasa es de aluminio. El objetivo mide sólo 1,3 pulgadas y pesa 4,9 onzas, y también se ofrece una versión en latón que pesa 7,4 onzas.
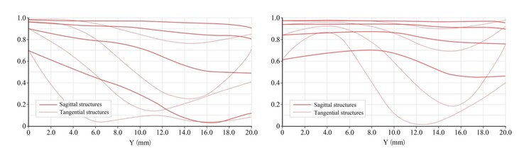
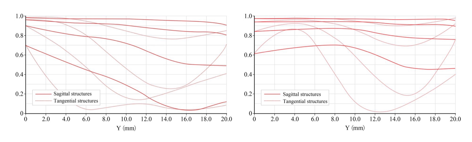
El diseño de siete elementos en cinco grupos se ha actualizado ligeramente para ofrecer una mejor calidad de imagen cuando se combina con sensores digitales. Sin embargo, como muestran las curvas MTF del fabricante, el objetivo, al igual que el original, tiene una curvatura de campo pronunciada, por lo que el centro de la imagen y las esquinas resultan más nítidos que la zona intermedia. Incluso en el centro, el objetivo no es especialmente nítido cuando se utiliza totalmente abierto.
Precio y disponibilidad
El objetivo de fotograma completo Mandler 35 mm f/2,0 "7 Elementos" ya está disponible en la tienda en línea del fabricante https://mandler.shop/products/mandler-35mm-f2-7-elements-aluminum#product-descriptioncon montura Leica M por 348 dólares o con montura de rosca LTM por 378 dólares. La versión plateada cuesta 30 dólares más, y los paquetes de accesorios que incluyen un parasol para el objetivo también están disponibles por un cargo adicional. La versión Leica M está actualmente agotada, pero se espera que vuelva a estar disponible en marzo. El envío desde China es gratuito, pero los precios no incluyen las posibles tasas de importación.

















